Wang, S. Y. #; Ning L. C.#; Mao, T.; Zhou, Y. Q.; Pu, M. P.; Feng, X. M.; Dong, S. X.* Anti-Markovnikov Hydroallylation Reaction of Alkenes via Scandium-catalyzed Allylic C‒H activation. Nat. Commun. 2025, 16, 1423.
Liu, Z. Z. #; Wu, H. L. #; Zhang, H. L.; Wang, F.; Liu, X. H.; Dong, S. X. *; Hong, X. *; Feng, X. M. * Iron-Catalyzed Asymmetric Imidation of Sulfides via Sterically Biased Nitrene Transfer, J. Am. Chem. Soc. 2024, 146, 18050.
Tan, Z.; Chen, L.; Li, L. Y.; Li, Y. Z.; Luo, Y.; Wang, F.; Dong, S. X.*; Feng, X M.* Asymmetric Synthesis of α-Methylene-γ-butyrolactones via Tandem Allylboration/Lactonization: a Kinetic Resolution Process, Angew. Chem. Int. Ed. 2023, 62, e202306146.
Dong, S. X.; Liu, X. H.*; Feng, X. M.* Asymmetric Catalytic Rearrangements with a-Diazocarbonyl Compounds, Acc. Chem. Res. 2022, 55, 415. (封面论文).
Lin, Q. C.; Zheng, S. J.; Chen, L.; Wu, J.; Li, Z. J.; Liu, P. Z.; Dong, S. X.*; Liu, X. H.; Peng, Q.*; Feng, X. M.* Catalytic Regio- and Enantioselective Protonation for the Synthesis of Chiral Allenes: Synergistic Effect of the Counterion and Water, Angew. Chem. Int. Ed. 2022, 61, e202203650 (封面论文).
Chen, Y. S.; Liu, Y.; Li, Z. J.; Dong, S. X.*; Liu, X. H.; Feng, X. M.* Tandem Insertion/[1,3]-Rearrangement: Highly Enantioselective Construction of α-Aminoketones, Angew. Chem. Int. Ed. 2020, 59, 8052.
Tang, Q.; Fu, K.; Ruan, P. R.; Dong, S. X.*; Su, Z. S; Liu, X. H.; Feng, X. M.* Asymmetric Catalytic Formal 1,4-Allylation of β,γ-Unsaturated α-Ketoesters via Allylboration/Oxy-Cope Rearrangement, Angew. Chem. Int. Ed. 2019, 58, 11846.
Dong, S. X.; Feng, X. M.; Liu, X. H.* Chiral Guanidine and Their Derivatives in Asymmetric Synthesis, Chem. Soc. Rev. 2018, 47, 8525.
Zhu, C. H.#; Zhou, Y. Q.#; Zhang, J.; Li, J. F.; Zhang, Y. X.; Wang, F.; Feng, X. M.*; Dong, S. X.* Rare-Earth Metal Catalyzed Asymmetric Addition/Hydroamidination of Nitriles and Allylamines for the Concise Synthesis of Chiral Imidazolines, CCS Chem. 2025, 7, 148.
Luo, Q. L.; Zhou, Y. Q.; Zhang, J.; Dong, S. X.*; Feng, X. M*. Asymmetric Catalytic (3+2) Cyclization and Sequential Reaction to Construct Dihydrofuran- and Azepine-Based Spirooxindoles. Org. Lett. 2025. DOI: 10.1021/acs.orglett.5c00182.
Li,W. Y. R.; Yang, L. Q.; Tang, X. X.; Yan, W. J.; Wu, Z.; Wang, F.; Dong, S. X.*; Feng, X. M*. Asymmetric α-Selective Allylation of Amide Unit of Maleimides and Alkenyloxindoles by Dual-functional InIII/N,N'-dioxide Complex. Org. Chem. Front. 2025, DOI: 10.1039/D4QO02320J.
Zeng, Z.#; Yang, L. Q. #; Xiao, Z. J.; Chen, L.; Zhong, Z. W.; Wang, F.; Liu, X. H.; Dong, S. X.*; Feng, X. M.* A Remarkable Influence of La(III)/N,N'‑Dioxide Structure on Asymmetric Formal Substitution of 3‑Bromo-3-substituted Oxindoles with TMSCN, ACS Catal. 2024, 14, 2908.
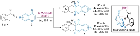
Mo, Y. H.; Ning, L. C.; Luo, Z.; Yang, L. K.; Tang, S.; Dong, S. X.* Zhou, Q. L.; Feng, X. M.* Asymmetric Photoenolization/Diels-Alder Reaction of 2-Methylbenzaldehydes and 2-Alkylbenzophenones with Chromones, ACS Catal. 2024, 14, 6687.
Luo, Q. L.; Mao, T.; Luo, Y.; Zhang, Y. X.; Wang, F.; Dong, S. X.*; Feng, X. M*. Enantioselective Synthesis of Spiro[cyclopentane-1,3’-oxindole] Scaffolds with Five Consecutive Stereocenters. Org. Lett. 2024, 26, 6402.
Tan, Z.; YiHuo, A. Y.; Wu, Z. Wang, F.; Dong, S. X.*; Feng, X. M. Concise Synthesis of Chiral γ-Butenolides via an Allylation/Lactonization Cascade Reaction, Chem. Commun. 2024, 60, 7926.
Zhu, C. H.; Mao, T.; Feng, X. M.; Dong, S. X*. Rare-Earth-Metal-Catalyzed Regioselective Hydrosilylation of Internal Alkenes and Alkynes. Synthesis 2024, 56, 3903.
Li, D.; Wang, Y. J.; Wang, S. Y..; Dong, S. X.* The Effect of Basic Ligands and Alkenes on the Regioselectivity of C–H Additions of Tertiary Amines to Alkenes, Chem. Eur. J. 2024, 30, e202401014.

Cao, D. Y.; Xi, R. Y.; Li, H. Y.; Zhang, Z. H.; Shi, X. K.; Li, S. S.; Jin, Y. J.; Liu, W. L.; Zhang, G. L.; Liu, X. H.; Dong, S. X.*; Feng, X. M.*; Wang, F.* Discovery of a Covalent Inhibitor of Pro-Caspase-1 Zymogen Blocking NLRP3 Inflammasome Activation and Pyroptosis, J. Med. Chem. 2024, DOI: 10.1021/acs.jmedchem.4c01558.
Dong, S. X.; Cao, W. D.; Pu, M. P.; Liu, X. H.*; Feng, X. M.* Ligand Acceleration in Chiral Lewis Acid Catalysis, CCS Chem. 2023, 5, 2717.
Li, D. W.; Ning, L. C.; Luo, Q. L.; Wang, S. Y.; Feng, X. M.; Dong, S. X.*. C-H alkylation of pyridines with olefins catalyzed by imidazolin-2-iminato-ligated rare-earth alkyl complexes, Sci. China. Chem. 2023, 66, 1804.
Wang. S. Y.; Zhu, C. H.; Ning, L. C.; Li, D. W.; Feng, X. M; Dong, S. X.* Regioselective C-H alkylation of anisoles with olefins by cationic imidazolin-2-iminato scandium(III) alkyl complexes, Chem. Sci. 2023, 14. 3132 (cover picture).
Zhu, C. H.; Zhou, Y. Q.; Yang, J.; Feng, X. M.; Dong, S. X.* Lanthanide-catalyzed regio- and enantioselective hydrosilylation of aryl-substituted terminal and internal alkenes, Org. Chem. Front. 2023, 10, 1263.
Wang, S. J.; Zhang, C.; F.; Li, D.; Zhou, Y. Q.; Su, Z. S.; Feng, X. M.; Dong, S. X.* New Chiral N-Heterocyclic Olefin Bifunctional Organocatalysis in α-Functionalization of β-Ketoesters, Sci. China. Chem. 2023, 66, 147.
Wang, S. J.; Yang, J.; Zeng, H. H.; Zhou, Y. Q.; Wang, F.; Feng, X. M.; Dong, S. X.* Asymmetric Formal Coupling of β-Ketoesters with Quinones Promoted by a Chiral Bifunctional N-Heterocyclic Olefin, Org. Lett. 2023, 25, 7247.
Wang, Y.; Yihuo, A. Y.; Wang, L. F. Dong, S. X.*; Feng, X. M.* Catalytic Asymmetric Synthesis of Chiral Azo Compounds via Interrupted Japp–Klingemann Reaction with Aryldiazonium Salts, Sci. China Chem. 2022, 65, 546.
Dong, P.; Li, Z. J.; Liu, X. H.; Dong, S. X.*; Feng, X. M.* Asymmetric Synthesis of Polycyclic Spiroindolines via the Dy-catalyzed Cascade Reaction of 3-(2-Isocyanoethyl)indoles with Aziridines, Org. Chem. Front. 2022, 9, 4591.
Tang, X. X.; Su, Z. S.; Lin, Q. C.; Lin, L. L.; Dong, S. X.*; Feng, X. M.* Asymmetric Catalytic α-Selective Allylation of Ketones with Allyltrifluoroborates using Dual-functional Chiral InIII/N,N′-dioxide Complex, Chin. J. Chem. 2022, 40, 1793.
Zhong, X.; Tan, J. Q.; Qiao, J. L.; Zhou, Y. Q.; Lv, C. D.; Su, Z. S.; Dong, S. X.*; Feng, X. M.* Catalytic Asymmetric Synthesis of Spirocyclobutyl Oxindoles and Beyond via [2+2] Cycloaddition and Sequential Transformations, Chem. Sci. 2021, 12, 9991.
Xu, C. R.; Qiao, J. L.; Dong, S. X.*; Zhou, Y. Q.; Liu, X. H.; Feng, X. M.* Asymmetric Synthesis of Dihydro-1,3-Dioxepines by Rh(II)/Sm(III) Relay Catalytic Three-Component Tandem [4+3]-Cycloaddition, Chem. Sci. 2021, 12, 5458. This article is part of the themed collection: 2021 Chemical Science HOT Article Collection. Highlighted by Synfacts 2021, 17, 0518.
Xiao, W. L.; Mo, Y. H.; Guo, J.; Su, Z. S.; Dong, S. X.*; Liu, X. H.; Feng, X. M.* Catalytic Enantioselective Synthesis of Macrodiolides and their Application in Chiral Recognition, Chem. Sci., 2021, 12, 2940.
Xiong, Q.; Luo, Q. L.; Zhang, T. H.; Dong, S. X.*; Liu, X. H.; Feng, X. M.* Catalytic Asymmetric Multicomponent Reaction of Isocyanide, Isothiocyanate and Alkylidene Malonates, Chem. Commun. 2021, 57, 7288.
Tang, X. X.; Su, Z. S., Yan, L. Q.; Tang, Q.; Dong, S. X.*; Lin, L. L. Xiaoming Feng, X. M.* Diastereo- and Enantioselective Synthesis of 3-Allyl-3-hydroxyoxindoles via Allylation of Isatins, Org. Lett. 2021, 23, 8419.
Dong, P.; Chen, L.; Yang, Z. D.; Dong, S. X.*; Feng, X. M.* Asymmetric Cycloisomerization/[3+2] Cycloaddition for Synthesis of Chiral Spiroisobenzofuran-1,3'-pyrrolidine Derivatives, Org. Chem. Front. 2021, 8, 6874.
Wang, F.; Feng, L. L.; Dong, S. X.*; Liu, X. H.; Feng, X. M.* Chiral N,N′-Dioxide-Iron(III)-Catalyzed Asymmetric Sulfoxidation with Hydrogen Peroxide, Chem. Commun. 2020, 56, 3233.
Li, D. W.; Wang, S. J.; Ge, S. L.; Dong, S. X.*; Feng, X. M. Asymmetric Synthesis of Axially Chiral Anilides via Organocatalytic Atroposelective N-Acylation, Org. Lett. 2020, 22, 5331.
Dong, S. X.; Daniliuc, C. G.; Kehr, G.; Erker, G.* Formation of Active Cyclic Five-membered Frustrated Phosphane/Borane Lewis Pairs and their Cycloaddition Reactions, Chem. Eur. J. 2020, 26, 745.
Luo, Y.; Zhang, H.; Wang, S. Y.; Zhou, Y. Q.; Dong, S. X.*; Feng, X. M.* Asymmetric Catalytic Diverse Ring Opening/Cycloadditions of Cyclobutenones with (E)-Alkenyloxindoles and (E)-Dioxopyrrolidines, Org. Lett. 2020, 22, 2645.
Ge, S. L.; Zhang, Y. Y.; Tan, Z.; Li, D. W.; Dong, S. X.*; Liu, X. H.; Feng, X. M.*, Bimetallic Catalytic Tandem Reaction of Acyclic Enynones: Enantioselective Access to Tetrahydrobenzofuran Derivatives, Org. Lett. 2020, 22, 3551. Highlighted by Synfacts, 2020, 16, 0820.
Xiong, Q. Li, G. L.; Dong, S. X.*; Liu, X. H.; Feng, X. M.*, Enantioselective Synthesis of Hydrothiazole Derivatives via an Isocyanide-Based Multicomponent Reaction, Org. Lett. 2019, 21, 8771.
Liu, W.; Zhou, P. F.; Lang, J. W.; Dong, S. X.*; Liu, X. H.; Feng, X. M.*, A Nickel(II)-Catalyzed Asymmetric Intramolecular Alder-ene Reaction of 1,7-Dienes, Chem. Commun. 2019, 55, 4479.
Li, X. Q.; Xiong, Q.; Guan, M. M.; Dong, S. X.*; Liu, X. H.; Feng, X. M.*, Divergent Synthesis of Enantioenriched β-Functional Amines via Desymmetrization of meso-Aziridines with Isocyanides, Org. Lett. 2019, 21, 6096.
Zhong, X.; Tang, Q., Zhou, P. F.; Zhong, Z. W. Dong, S. X.*; Liu, X. H.; Feng, X. M.*, Asymmetric Synthesis of Polysubstituted Methylenecyclobutanes via Catalytic [2+2] Cycloaddition Reaction of N-Allenamides, Chem. Commun. 2018, 54, 10511. Highlighted by Synfacts 2018, 14, 1154.
书籍章节:
Dong, S. X.; Zhao, J. N.; Feng, X. M.* Comprehensive Chirality, Second Edition, Volume 6, Chapter 1. Introduction and Remarks, Elsevier, 2023.
Zhao, J. N.; Dong, S. X.; Feng, X. M.* Comprehensive Chirality, Second Edition, Volume 6, Chapter 9. [4+2]-Cycloadditions (Inverse-Electron-Demand Hetero-Diels–Alder Reaction), Elsevier, 2023.
Wang, S. J.; Feng, X. M.; Dong, S. X.* Electronic Encyclopedia of Reagents for Organic Synthesis, 1H-Imidazole,2,3-dihydro-1,3-bis[4-methyl-2,6-bis[(1R)-1-phenylethyl] phenyl]-2-methylidene, Wiley, 2024, accepted, ID: RN02602.